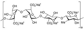
Molecule of the Week

I’m a versatile substance that comes from seaweed.


About Molecule of the Week

MOTW has been a popular feature on this site since 2001. Many molecules are suggested by our website visitors. Every structure is reviewed by a scientist and displayed in 3-D and flat images with a brief description.

Each week’s molecule also links to a sample record from the CAS REGISTRY, which is searched using SciFinder®. Each record displays the registry number, index name and synonyms, bibliographic information, and more.